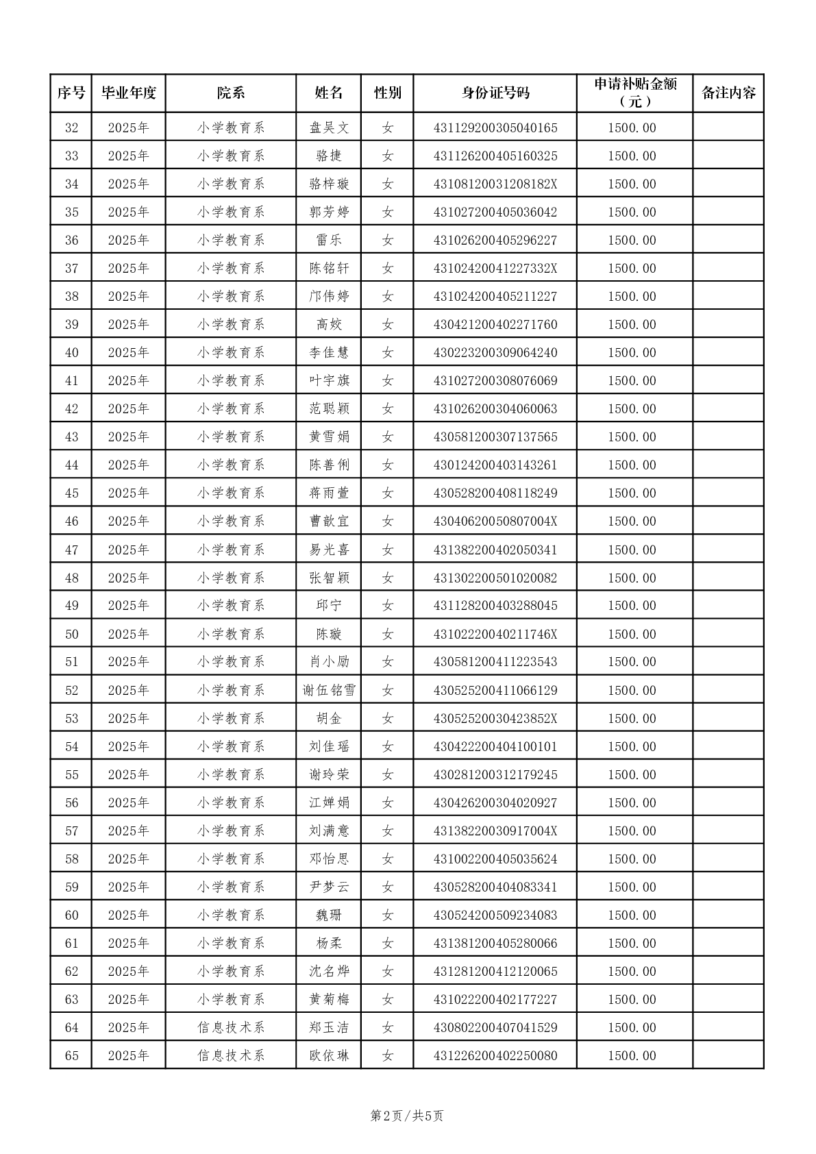
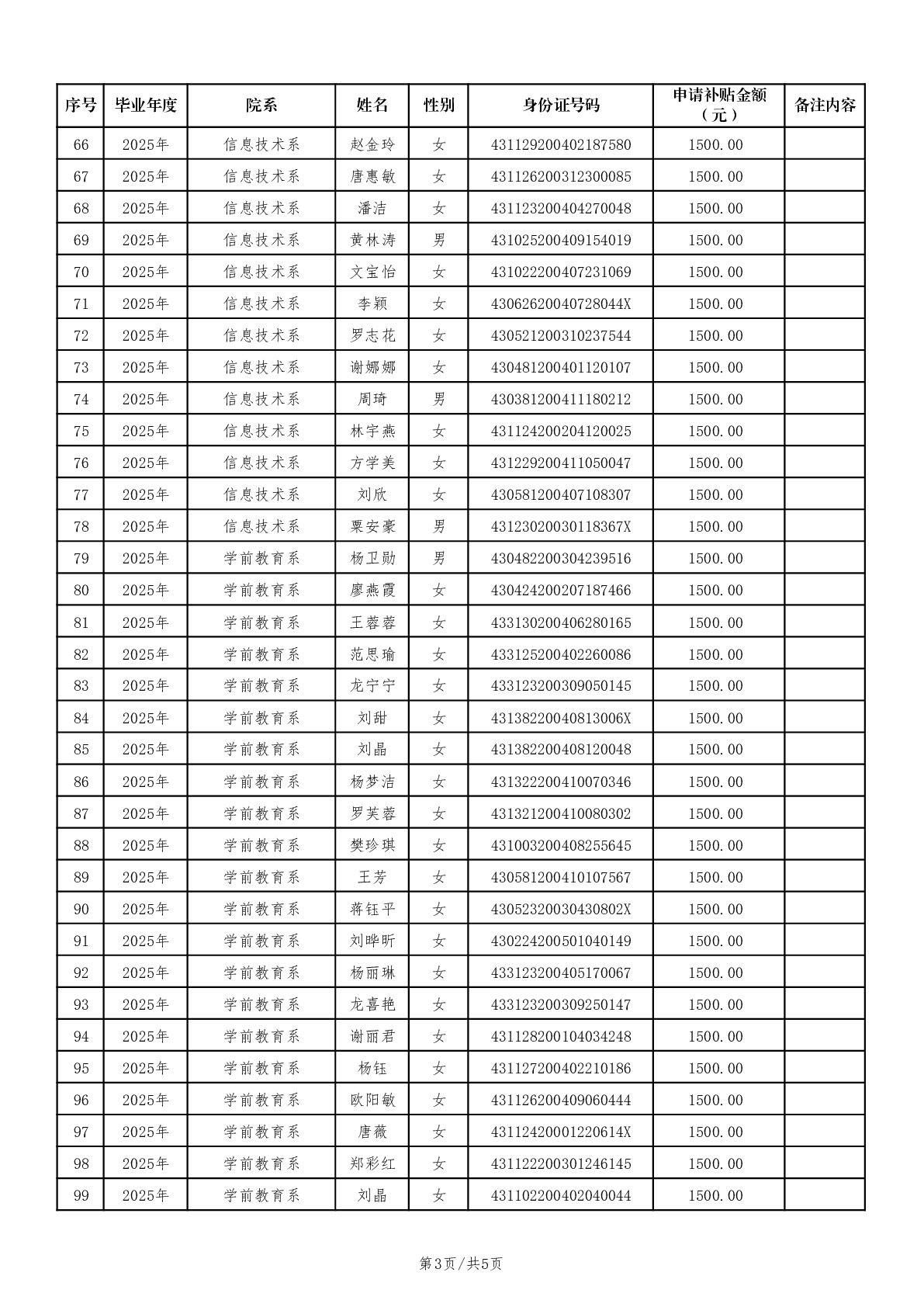
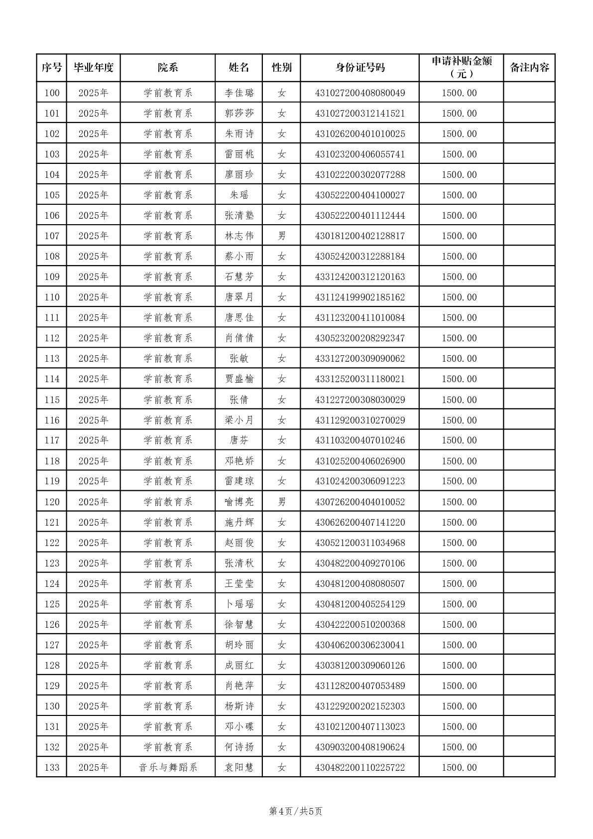
2025届毕业生一次性求职补贴公示
日期:2024-09-25 作者:喻博亮 来源: 浏览量:87





衡阳幼儿师范高等专科学校 版权所有 Copyright 2017-2023 www.h4ht.cn
湘ICP备19026311号??
湘公网安备 43040602000090号





衡阳幼儿师范高等专科学校 版权所有 Copyright 2017-2023 www.h4ht.cn
湘ICP备19026311号??
湘公网安备 43040602000090号