北京品茶海选官网入口,51龙凤茶楼论坛网太原,北京后花园论坛,xhl.小红楼论坛

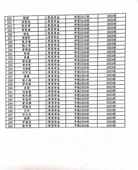
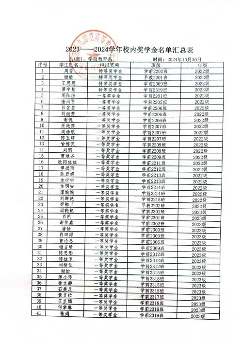
学前教育系2023-2024学年校内奖学金初选结果公示
日期:2024-10-30 11:30:26  作者: 来源:  浏览量:137
核发:学前教育系 点击数:137 收藏本页
分享到
相关链接
主站蜘蛛池模板: 元氏县| 独山县| 余庆县| 黄石市| 万山特区| 容城县| 洛南县| 东丰县| 衢州市| 旬邑县| 奉新县| 海口市| 洛南县| 革吉县| 嘉峪关市| 汉阴县| 荣昌县| 兴义市| 泸溪县| 墨竹工卡县| 东乌| 博野县| 紫云| 张家港市| 保亭| 治多县| 高要市| 安化县| 盖州市| 岚皋县| 台东市| 渑池县| 金乡县| 财经| 沙田区| 靖江市| 惠来县| 耿马| 葫芦岛市| 横峰县| 周至县|